2026浙江首考賦分表:賦分科目有哪些,如何計算?附賦分規則
近日,浙江省首考成績已然正式公布,各位考生可通過微信、考試院官網、短信推送等方式自行查詢考試成績。不過首考并不同于高考,考試院官方并不會公布一分一段表、各位考生的全省位次以及原始卷面分,考生只能知曉外語科目的卷面分成績以及選考科目的賦分成績。那么浙江首考的賦分規則是怎樣的呢?小編已為大家整理了相關資料,快來看看吧!

2026浙江首考賦分表
浙江省1月進行的首考和6月高考統考采用的是相同的賦分規則,會按照五等20級對各科考生成績進行賦分,一分一賦,起點賦分為40分(即所有考生選考科目單科成績至少為40分),滿分為100分。
據悉,浙江首考的考試科目主要為外語和選考科目(物理、化學、生物、歷史、政治、地理、技術),其中需要進行賦分的僅有選考科目。而浙江首考賦分對照表如下:

從表格中可以看出,浙江高考選考科目在賦分時會先按照卷面分進行排序,共分為20個賦分區間,每個區間都有對應的人數比例。如卷面分排在全省前3%的考生,對應的賦分區間為(97~100),卷面分排在全省3%~6%的考生,對應的賦分區間為(94~96),以此類推。
而每一比例的考生,都會有卷面分的上下限。假設:浙江首考化學科目卷面分排在前10%~15%的考生共有3000人,其中第1名考生的卷面分為89分,第3000名考生的卷面分為84分,那么這一賦分區間的卷面分上限和下限即為89分和84分。
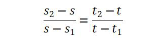
如某考生化學科目卷面分為86分,他的成績排在全省前13%,由圖可知對應的賦分區間為(88~90),對應的卷面得分區間即為(84~89)。然后便可根據以下公式進行賦分轉換:

注:其中,s2、s1為卷面得分區間的上限和下限,s為待轉換卷面得分;t2、t1為賦分區間的上限和下限,t為卷面得分等比例轉換后的賦分。
將數值代入到公式中,即為89-86/86-84=90-t/t-88;
計算得出,t=88.8,四舍五入取整后的等級賦分為89分。
以上即為浙江首考賦分的具體步驟和示例。
2021-2026年浙江首考各科賦分人數(網傳、預測)
一、2026浙江首考各科賦分表

二、2025浙江首考各科賦分表

三、2024浙江首考各科賦分表

四、2023浙江首考各科賦分表

五、2022浙江首考各科賦分表

六、2021浙江首考各科賦分表

以上資料僅供參考,具體請以實際情況為準!
相關閱讀
-
張雪峰談金融學專業:張雪峰為啥不建議女孩學金融?附專業大學排名(2026參考)金融學專業長期以來都是高考大熱門,幾乎國內所有的財經、理工、綜合類院校都會開設金融學專業,每年招生規模都相當龐大,在公務員招錄考試中也有不少崗位需求,...作者:kokkuri 時間:2026-02-04 -
2025大連民辦本科大學排名及分數線匯總,最低多少分能上?(2026參考)隨著高等教育普及和職業教育發展,國家政策正推動應用型本科建設,而民辦本科院校的辦學機制相對靈活、專業設置貼合市場需求,社會大眾對該類院校的關注度正在逐...作者:kokkuri 時間:2026-02-04 -
2025福州民辦本科大學排名及分數線匯總,最低多少分能上?(2026參考)隨著高等教育普及和職業教育發展,國家政策正推動應用型本科建設,而民辦本科院校的辦學機制相對靈活、專業設置貼合市場需求,社會大眾對該類院校的關注度正在逐...作者:kokkuri 時間:2026-02-04 -
2025四川軍校錄取分數線一覽(物理+歷史),最低多少分能上?(2026參考)對于國家而言,軍校通過高考招生能夠有效選拔文化扎實、體能達標的優質生源,讓軍隊獲得源源不斷的高素質軍事人才。而報考軍校對于我國青年人才來說也是圓夢軍旅...作者:kokkuri 時間:2026-02-04 -
2025吉林軍校錄取分數線一覽(物理+歷史),最低多少分能上?(2026參考)對于國家而言,軍校通過高考招生能夠有效選拔文化扎實、體能達標的優質生源,讓軍隊獲得源源不斷的高素質軍事人才。而報考軍校對于我國青年人才來說也是圓夢軍旅...作者:kokkuri 時間:2026-02-04 -
浙江首考和高考有什么區別?什么時候出成績?怎樣查詢分數?高考首考是浙江新高考改革后推出的制度,指高三學生在每年1月參加的第一次高考。考生可以通過該次考試大致評估自身水準,明確目標院校層次,且首考成績是報考強...作者:kokkuri 時間:2026-02-03
最新文章
- 高考分數相同位次怎么排名的?高考同分排序規則是什么?
- 新高考全國一卷的省份有哪些 全國新高考一卷使用地區
- 2023高考位次怎么查詢?高考位次查詢系統入口在哪里
- 新高考原始分和賦分是什么意思?新高考是按賦分還是原始分錄取?
- 2025新高考死亡組合,新高考不建議的選科組合(附3+1+2賦分誰最吃虧)
- 高考位次計算方法公式是什么?高考一分一段表如何換算位次?
- 2024新高考一卷數學題型改變了嗎變化分析及備考建議,命題人是誰?
- 天津高考新政策是3+1+2還是3+3?2023年天津高考新政策細則解讀
- 新高考英語和老高考英語有什么區別,新高考英語題型及分值介紹
- 浙江新高考政策選科怎么選,浙江新高考七選三哪個組合好
推薦閱讀
- 張雪峰談金融學專業:張雪峰為啥不建議女孩學金融?附專業大學排名(2026參考)
- 2026浙江首考賦分表:賦分科目有哪些,如何計算?附賦分規則
- 2025全國大學軟件工程專業排名:軟件工程專業實力100強學校名單
- 2025大連民辦本科大學排名及分數線匯總,最低多少分能上?(2026參考)
- 2025福州民辦本科大學排名及分數線匯總,最低多少分能上?(2026參考)
- 2025四川軍校錄取分數線一覽(物理+歷史),最低多少分能上?(2026參考)
- 2025吉林軍校錄取分數線一覽(物理+歷史),最低多少分能上?(2026參考)
- 浙江首考和高考有什么區別?什么時候出成績?怎樣查詢分數?
- 2025公立大專多少分可以錄取?200分左右可以上公辦大專嗎?(2026參考)
- 2025南昌民辦本科大學排名及分數線匯總,最低多少分能上?(2026參考)