新高考考幾科每科多少分總分是多少2025新高考分數怎么算
隨著新高考的推進越來越多的省份加入新高考的行列,新高考模式下很多高考內容都發生了一定的變化,就比如說高考分值設置,關于“新高考考幾科每科多少分總分是多少”下面小編將圍繞這個問題展開解析,以供大家參考,希望能夠幫助到大家!

新高考考幾科每科多少分總分是多少
新高考可以分為3+1+2新高考模式以及3+3新高考模式,這兩種新高考模式下高考均考6門科目,總分均為750分,具體介紹如下!
1、3+1+2新高考模式
3+1+2新高考模式下考6門科目,高考總分為750分,也就是說考生需要考語數英三門必考科目,然后必須要從物理和歷史這兩門中選擇一門科目,最后要從思想政治、地理、化學、生物學這四門科目中選擇2門為再選科目,分值設置情況如下!
3+1+2高考模式還是很好理解的,指的是考生總成績由3門統一高考成績、1門首選科目和2門再選科目構成,滿分750分。
“3”即統一高考科目為語文、數學、外語3門,這三門科目的滿分各為150分,每科以卷面分呈現。
“1”指的是考生必需要從物理或歷史科目中選擇1門首選科目,不管是歷史還物理滿分均為100分,每科最終以卷面分呈現。
“2”指的是考生需要從思想政治、地理、化學、生物學這四門科目中選擇2門為再選科目,各科滿分為100分,最終成績以賦分后的等級分呈現。
2、3+3新高考模式
3+3新高考模式下考6門科目,高考總分為750分,3+3新高考模式相比3+1+2要靈活一些,語數英為必考科目,然后考生可以從政史地物化生這6門科目中任選3門參與高考,分值設置情況如下!
3+3高考模式指考生總成績由統一高考的語文、數學、外語3個科目成績和高中學業水平考試3個科目成績組成,滿分為750分。
第一個“3”指的是語文、數學、外語這3個必考科目,每門滿分150分,采用原始分計入高考總分;
第二個“3”指的是考生們可以自由從思想政治、歷史、地理、物理、化學、生物這6門科目中任選3門作為選考科目,每門滿分100分,并采用等級賦分計入高考成績。
大家需要注意還有特殊情況,那就是上海和海南,這兩個地區雖然是新高考省份,但總分并不是750分,上海高考總分為660分,海南高考總分為900分。
1)上海高考總分為660分
上海高考總分為660分,其中語文、數學、外語每門滿分150分,另外3門選考科目每門滿分為70分。
2)海南高考總分為900分
海南高考總分是最高的,海南統一高考的語文、數學、外語3個科目每科原始分數滿分150分,以轉換后的標準分呈現考生成績。
學生自選的3門高中學業水平等級性考試成績,每門卷面滿分100分,以轉換后的標準分呈現考生成績。
兩個標準分合成后作為高校錄取總成績,總成績滿分為900分。
2025新高考分數怎么算
3+3高考模式等級賦分規則
3+3模式下,考生自選的三門選考科目每門滿分100分,并采用等級賦分計入高考成績。具體怎么計算很多考生關心不已,目前來說3+3新高考省份計算方法都是差不多的,所以小編以山東省為例子,為大家展開介紹!
以山東省為例子!
山東省將每門等級考試科目考生的原始成績從高到低劃分為A、B+、B、C+、C、D+、D、E共8個等級區間,各等級人數所占比例分別約為3%、7%、16%、24%、24%、16%、7%、3%。
等級考試科目成績計入考生總成績時,將A至E等級區間內的考生原始成績,依照等比例轉換法則,分別轉換到91-100、81-90、71-80、61-70、51-60、41-50、31-40、21-30八個分數區間,得到考生的等級成績,并計入總分參與錄取。

山東省新高考賦分公式為T=T2+{(S-S2)/(S1-S2)}*(T1-T2)。
T表示考生的轉換分(即等級分數),T1表示相應等級賦分區間的上限,T2表示相應等級賦分區間的下限,S表示考生的原始成績,S1表示該等級內考生原始成績的最高分,S2表示該等級內考生原始成績的最低分。

3+1+2高考模式等級賦分規則
3+1+2新高考模式下,考生需要從思想政治、地理、化學、生物學這四門科目中選擇2門為再選科目,各科滿分為100分,最終成績以賦分后的等級分呈現。具體怎么計算?以安徽省為例子!
3+1+2等級賦分制度主要針對思想政治、地理、化學、生物這四門再選科目,首先需要將每門科目的原始分數劃分為A、B、C、D、E五個等級,各等級人數所占比例通常為A等級15%、B等級35%、C等級35%、D等級13%、E等級2%,對應的分數區間分別為100~86、85~71、70~56、55~41和40~30分,具體大家可以參考下表!

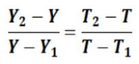
安徽省新高考賦分計算公式為

以上內容僅供大家參考,希望能夠幫助到大家!
相關閱讀
-
2025高考地理時間(各省匯總),新高考地理題型及分數占比今年高考相較于往年又有了不少新的轉變,其中最值得關注的便是第五批省份新高考改革落地,其進一步打破了傳統高考文理分科的界限,讓更多學生擁有了選科自主權。...作者:kokkuri 時間:2025-05-24 -
2025高考政治時間(各省匯總),新高考政治題型及分數占比今年高考相較于往年又有了不少新的轉變,其中最值得關注的便是第五批省份新高考改革落地,其進一步打破了傳統高考文理分科的界限,讓更多學生擁有了選科自主權。...作者:kokkuri 時間:2025-05-24 -
2025高考生物時間(各省匯總),新高考生物題型及分數占比今年高考相較于往年又有了不少新的轉變,其中最值得關注的便是第五批省份新高考改革落地,其進一步打破了傳統高考文理分科的界限,讓更多學生擁有了選科自主權。...作者:kokkuri 時間:2025-05-24 -
2025高考化學時間(各省匯總),新高考化學題型及分數占比今年高考相較于往年又有了不少新的轉變,其中最值得關注的便是第五批省份新高考改革落地,其進一步打破了傳統高考文理分科的界限,讓更多學生擁有了選科自主權。...作者:kokkuri 時間:2025-05-24 -
2025年高考考場什么時候確定?高考考場怎么查詢有幾種方式?隨著時間的推進距離2025年高考越來越近了,緊張的氛圍也逐漸拉滿了,很多的考生子啊積極備戰之余干非常關心今年的考場什么時候確定,考場信息怎么查詢,通常來說...作者:山海 時間:2025-05-24 -
2025高考歷史時間(各省匯總),新高考歷史題型及分數占比今年高考相較于往年又有了不少新的轉變,其中最值得關注的便是第五批省份新高考改革落地,其進一步打破了傳統高考文理分科的界限,讓更多學生擁有了選科自主權。...作者:kokkuri 時間:2025-05-20
最新文章
- 高考分數相同位次怎么排名的?高考同分排序規則是什么?
- 新高考全國一卷的省份有哪些 全國新高考一卷使用地區
- 2023高考位次怎么查詢?高考位次查詢系統入口在哪里
- 新高考原始分和賦分是什么意思?新高考是按賦分還是原始分錄取?
- 高考位次計算方法公式是什么?高考一分一段表如何換算位次?
- 天津高考新政策是3+1+2還是3+3?2023年天津高考新政策細則解讀
- 2024新高考一卷數學題型改變了嗎變化分析及備考建議,命題人是誰?
- 浙江新高考政策選科怎么選,浙江新高考七選三哪個組合好
- 2025新高考死亡組合,新高考不建議的選科組合(附3+1+2賦分誰最吃虧)
- 新高考英語和老高考英語有什么區別,新高考英語題型及分值介紹