貴州新高考賦分規則2024怎么賦分?附等級賦分方法及轉換公式!
貴州新高考賦分規則2024怎么賦分是大家所關心的,下面小編整理了本篇資訊為大家詳細解答,希望能夠幫助到大家!

貴州新高考賦分規則2024怎么賦分
貴州省選擇性考試再選科目每科原始分滿分為100分。轉換分以30分作為賦分起點,滿分100分。先將每科考生的原始分從高到低劃分到A、B、C、D、E共5個等級,各等級人數所占比例分別約為15%、35%、35%、13%和2%。再將A至E等級內的考生原始分,依照等比例轉換原則,分別轉換到100~86分、85~71分、70~56分、55~41分和40~30五個分數區間,得到考生的等級轉換分。
為了方便大家更加直觀的了解賦分規則,做出以下表格,供大家參考:
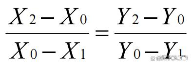
2024貴州新高考賦分怎么算?附計算公式!

其中,X1、X2分別表示某個等級所對應卷面分區間的下限和上限;
Y1、Y2分別表示相應等級的等級分賦分區間的下限和上限;
X0表示相應等級內某考生的卷面分;
Y0表示相應等級內某考生的等級分。
例如:2024年貴州省小李同學高考的政治卷面原始分考了75分,假設將本次考試分數在82~61分范圍劃為原始區間,那么可以根據上式公式進行轉換:(82-75)/(75-61)= (85-Y0) /(Y0-71)
解出Y0≈80,即該小李同學最終成績為80分。
貴州新高考等級賦分的利弊
1.能夠較好解決再選科目之間分數不等值、學生選考科目分數不能直接相加參加高校招生錄取的問題。
2.等級區間比例依據貴州省往屆考生的實際狀況劃定,符合貴州省省情。
3.能夠保持考生每門學科成績排名順序不變,確保成績轉換的公平公正。
4.能夠最大限度保證考生的成績具有良好的區分度,滿足高校人才選拔需要。
下面從幾個方面談談等級賦分有哪些弊端。
卷面難度低的情況下,對成績優秀的學霸學生不利。卷面難度低各考生就無法拉開差距,在進行等級排名賦分時,成績優秀的學霸優勢性相對不大。
對所選科目人少的同學來講較為吃虧。在等級賦分規則下,所選科目少的人越少,競爭就約大,賦分波動也大。例如,在2024年貴州省高考中,選擇地理的考生有1000人,假設前5%的學生可以賦分到90-100分,那么只有50名考生可以賦到這些分,如果有6000人選擇了化學,哪就有300人可以賦到這些分。
貴州新高考批次及志愿設置
批次及志愿設置各批次實行院校順序志愿或專業(類)平行志愿:院校順序志愿是指以“1個院校+6個專業(類)”為1個志愿,并設置是否服從專業調劑選項;專業(類)平行志愿是指以“1個專業(類)+1個院校”為1個志愿,不設是否服從專業調劑選項。
1.普通類。設置本科提前批、本科批、高職(專科)提前批、高職(專科)批四個批次。(1)本科提前批分為A段、B段和C段。本科提前批A段:包括有政治考核(考察)、面試、體檢(軍檢)、體能測評(試)等特殊要求的軍隊、公安、司法院校本科專業,設置1個院校順序志愿;強基計劃、香港高校自主招生、飛行技術招生、綜合評價招生、少年班、保送生、運動訓練單獨招生、武術與民族傳統體育單獨招生、殘疾考生單考單招、應急消防單獨招生、職教師資單獨招生等按照相關規定投檔錄取。本科提前批B段:包括高水平運動隊、高校專項計劃、航海類等艱苦專業、全國重點馬克思主義學院的馬克思主義理論專業、小語種、定向就業以及其他按教育部規定可納入提前批次錄取的本科招生專業,設置1個院校順序志愿。本科提前批C段:包括國家公費師范生、優師計劃、免費醫學生等本科專業,設置60個專業(類)平行志愿。(2)本科批。除本科提前批以外的其他本科招生專業(含預科、民族班、國家專項計劃和地方專項計劃),設置96個專業(類)平行志愿。(3)高職(專科)提前批。包括有政治考核(考察)、面試、體檢(軍檢)、體能測評(試)等特殊要求的及其他按教育部規定可納入提前批次錄取的高職(專科)招生專業,設置1個院校順序志愿。(4)高職(專科)批。除高職(專科)提前批以外的其他高職(專科)招生專業,設置96個專業(類)平行志愿。
2.藝術類。設置本科批、高職(專科)批2個批次。(1)本科批分為A段和B段。本科批A段:少數經批準組織校考的藝術類本科招生專業、使用戲曲類省際聯考成績的本科招生專業,設置1個院校順序志愿。本科批B段:包括使用我省省級統考成績作為專業成績的藝術類本科招生專業,設置60個專業(類)平行志愿。(2)高職(專科)批。設置60個專業(類)平行志愿。
3.體育類。設置本科批、高職(專科)批2個批次。(1)本科批。設置60個專業(類)平行志愿。(2)高職(專科)批。設置60個專業(類)平行志愿。
以上內容僅供大家參考!
相關閱讀
-
貴州新高考時間2024年時間表-各科貴州于2024年正式實行新高考,那么在新高考模式下,高考時間有變化嗎?下面跟著小編一起來詳細的了解下吧! 貴州新高考時間2024年時間表 2024貴州高考時間是6月7...作者:山海 時間:2024-02-02 -
2024年北京高考試卷難度大嗎?北京北京作為中國首都,擁有著全國最好的高中教育資源。但是相較于其它的省份來說,北京市的高考難度是很小的。那么北京高考試卷是全國幾卷?2024年北京高考試卷難度...作者:小魚 時間:2024-02-02 -
2024黑龍江高考幾天?今年高考具體距離2024年的高考舉行還有四個月的時間,預祝各位參加高考的同學們都能取得令人滿意的成績,金榜題名。那么今年黑龍江具體哪幾天考試?各科考試安排如何?快來了...作者:kokkuri 時間:2024-02-02 -
2024年貴州高考體育統考時間及地點近日貴州省教育考試院發表確定了本省體育類專業考試相關安排,以下為具體相關詳情,可供大家參考。 一、2024年貴州體育統考考試時間及地點 考試時間: 貴州省202...作者:kokkuri 時間:2024-02-02 -
黑龍江新高考時間2024年時間表-具2024年起,黑龍江省高考將實行“3+1+2”模式新高考,使用全國卷,不分文理。那么新高考模式下,黑龍江高考時間有變化嗎?下面跟著小編一起來像的了解下吧! 黑龍江...作者:山海 時間:2024-02-01 -
2024黑龍江新高考科目有哪些:各科黑龍江省將于2024年正式實行新高考,不再區別文理科,在新高考模式下,很多人比較關心黑龍江高考科目有哪些?會不會發生變化?下面跟著小編一起來詳細的了解下吧...作者:山海 時間:2024-02-01
最新文章
推薦閱讀
- 張雪峰最不建議上的211 :附211里最差的30所大學(2023參考)
- 專升本報名入口官網2023報名時間:全國各省專升本報名時間及入口
- 2023年會考成績查詢入口:各省普通高中學業水平考試成績查詢網址
- 同學聚會有什么壞處?聰明人不參加同學會原因有4點你中了么
- 高考成績一般什么時候出來?2022全國高考成績公布時間一覽表
- 外省學生可以進衡水中學嗎?怎么進流程有哪些?衡水中學招生條件
- 全國警校改革最新入警規定和政策?2022年警校恢復包分配是真的嗎
- 未來最值錢的十大證書你考了幾個?中國國內緊缺什么人才盤點
- 甘肅省教育考試院官網登錄入口2023年:https://www.ganseea.cn/
- 武亦姝父母家庭背景如何?中國詩詞大會武亦姝個人簡介曝光